


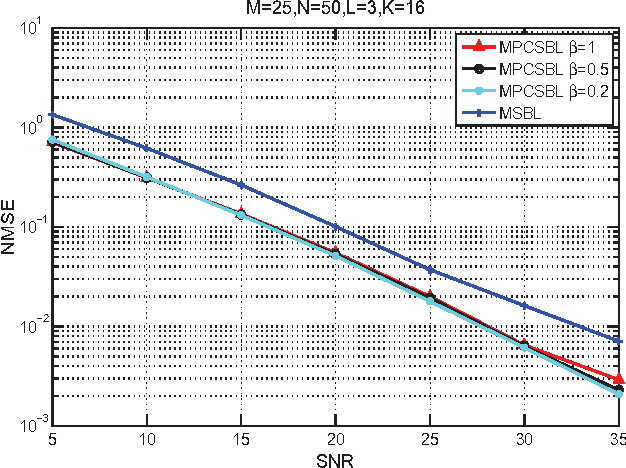
In this paper, we consider the block-sparse signals recovery problem in the context of multiple measurement vectors (MMV) with common row sparsity patterns. We develop a new method for recovery of common row sparsity MMV signals, where a pattern-coupled hierarchical Gaussian prior model is introduced to characterize both the block-sparsity of the coefficients and the statistical dependency between neighboring coefficients of the common row sparsity MMV signals. Unlike many other methods, the proposed method is able to automatically capture the block sparse structure of the unknown signal. Our method is developed using an expectation-maximization (EM) framework. Simulation results show that our proposed method offers competitive performance in recovering block-sparse common row sparsity pattern MMV signals.