


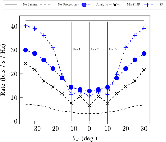
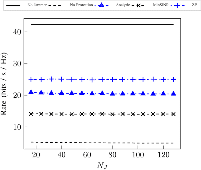
We address the resilience of future 6G MIMO communications by considering an uplink scenario where multiple legitimate transmitters try to communicate with a base station in the presence of an adversarial jammer. The jammer possesses full knowledge about the system and the physical parameters of the legitimate link, while the base station only knows the UL-channels and the angle-of-arrival (AoA) of the jamming signals. Furthermore, the legitimate transmitters are oblivious to the fact that jamming takes place, thus the burden of guaranteeing resilience falls on the receiver. For this case we derive one optimal jamming strategy that aims to minimize the rate of the strongest user and multiple receive strategies, one based on a lower bound on the achievable signal-to-interference-to-noise-ratio (SINR), one based on a zero-forcing (ZF) design, and one based on a minimum SINR constraint. Numerical studies show that the proposed anti-jamming approaches ensure that the sum rate of the system is much higher than without protection, even when the jammer has considerably more transmit power and even if the jamming signals come from the same direction as those of the legitimate users.