



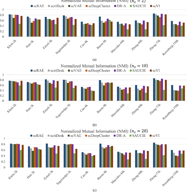
Clustering single-cell RNA sequence (scRNA-seq) data poses statistical and computational challenges due to their high-dimensionality and data-sparsity, also known as `dropout' events. Recently, Regularized Auto-Encoder (RAE) based deep neural network models have achieved remarkable success in learning robust low-dimensional representations. The basic idea in RAEs is to learn a non-linear mapping from the high-dimensional data space to a low-dimensional latent space and vice-versa, simultaneously imposing a distributional prior on the latent space, which brings in a regularization effect. This paper argues that RAEs suffer from the infamous problem of bias-variance trade-off in their naive formulation. While a simple AE without a latent regularization results in data over-fitting, a very strong prior leads to under-representation and thus bad clustering. To address the above issues, we propose a modified RAE framework (called the scRAE) for effective clustering of the single-cell RNA sequencing data. scRAE consists of deterministic AE with a flexibly learnable prior generator network, which is jointly trained with the AE. This facilitates scRAE to trade-off better between the bias and variance in the latent space. We demonstrate the efficacy of the proposed method through extensive experimentation on several real-world single-cell Gene expression datasets.