



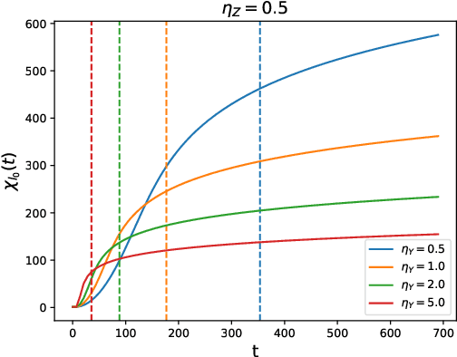
Transformer architecture has shown impressive performance in multiple research domains and has become the backbone of many neural network models. However, there is limited understanding on how it works. In particular, with a simple predictive loss, how the representation emerges from the gradient \emph{training dynamics} remains a mystery. In this paper, for 1-layer transformer with one self-attention layer plus one decoder layer, we analyze its SGD training dynamics for the task of next token prediction in a mathematically rigorous manner. We open the black box of the dynamic process of how the self-attention layer combines input tokens, and reveal the nature of underlying inductive bias. More specifically, with the assumption (a) no positional encoding, (b) long input sequence, and (c) the decoder layer learns faster than the self-attention layer, we prove that self-attention acts as a \emph{discriminative scanning algorithm}: starting from uniform attention, it gradually attends more to distinct key tokens for a specific next token to be predicted, and pays less attention to common key tokens that occur across different next tokens. Among distinct tokens, it progressively drops attention weights, following the order of low to high co-occurrence between the key and the query token in the training set. Interestingly, this procedure does not lead to winner-takes-all, but decelerates due to a \emph{phase transition} that is controllable by the learning rates of the two layers, leaving (almost) fixed token combination. We verify this \textbf{\emph{scan and snap}} dynamics on synthetic and real-world data (WikiText).