



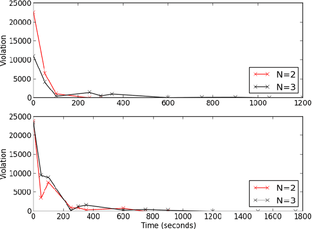
Optimal planning with respect to learned neural network (NN) models in continuous action and state spaces using mixed-integer linear programming (MILP) is a challenging task for branch-and-bound solvers due to the poor linear relaxation of the underlying MILP model. For a given set of features, potential heuristics provide an efficient framework for computing bounds on cost (reward) functions. In this paper, we model the problem of finding an optimal potential bounds for learned NN models as a bilevel program, and solve it using a novel finite-time constraint generation algorithm. We then strengthen the linear relaxation of the underlying MILP model by introducing constraints to bound the reward function based on the precomputed reward potentials. Experimentally, we show that our algorithm efficiently computes reward potentials for learned NN models, and the overhead of computing reward potentials is justified by the overall strengthening of the underlying MILP model for the task of planning over long horizons.