



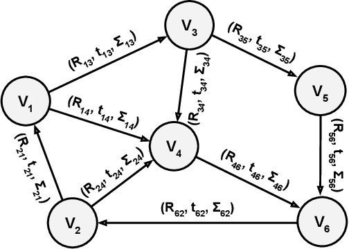
In this paper, we revisit the rotation averaging problem applied in global Structure-from-Motion pipelines. We argue that the main problem of current methods is the minimized cost function that is only weakly connected with the input data via the estimated epipolar geometries.We propose to better model the underlying noise distributions by directly propagating the uncertainty from the point correspondences into the rotation averaging. Such uncertainties are obtained for free by considering the Jacobians of two-view refinements. Moreover, we explore integrating a variant of the MAGSAC loss into the rotation averaging problem, instead of using classical robust losses employed in current frameworks. The proposed method leads to results superior to baselines, in terms of accuracy, on large-scale public benchmarks. The code is public. https://github.com/zhangganlin/GlobalSfMpy