



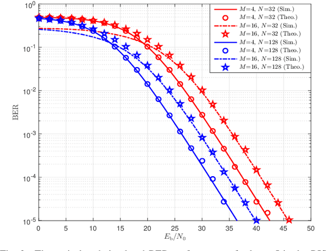
In this paper, we propose two reconfigurable intelligent surface-aided $M$-ary frequency-modulated differential chaos shift keying (RIS-$M$-FM-DCSK) schemes. In scheme I, the RIS is regarded as a transmitter at the source to incorporate the $M$-ary phase-shift-keying ($M$-PSK) symbols into the FM chaotic signal and to reflect the resultant $M$-ary FM chaotic signal toward the destination. The information bits of the source are carried by both the positive/negative state of the FM chaotic signal and the $M$-PSK symbols. In scheme II, the RIS is treated as a relay so that both the source and relay can simultaneously transmit their information bits to the destination. The information bits of the source and relay are carried by the positive/negative state of the FM chaotic signal and $M$-PSK symbols generated by the RIS, respectively. The proposed RIS-$M$-FM-DCSK system has an attractive advantage that it does not require channel state information for detection, thus avoiding complex channel estimation. Moreover, we derive the theoretical expressions for bit error rates (BERs) of the proposed RIS-$M$-FM-DCSK system with both scheme I and scheme II over multipath Rayleigh fading channels. Simulations results not only verify the accuracy of the theoretical derivations, but also demonstrate the superiority of the proposed system. The proposed RIS-$M$-FM-DCSK system is a promising low-cost, low-power, and high-reliability alternative for wireless communication networks.