



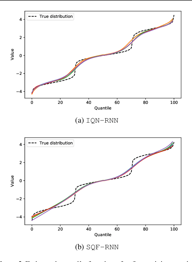
Here, we propose a general method for probabilistic time series forecasting. We combine an autoregressive recurrent neural network to model temporal dynamics with Implicit Quantile Networks to learn a large class of distributions over a time-series target. When compared to other probabilistic neural forecasting models on real- and simulated data, our approach is favorable in terms of point-wise prediction accuracy as well as on estimating the underlying temporal distribution.