



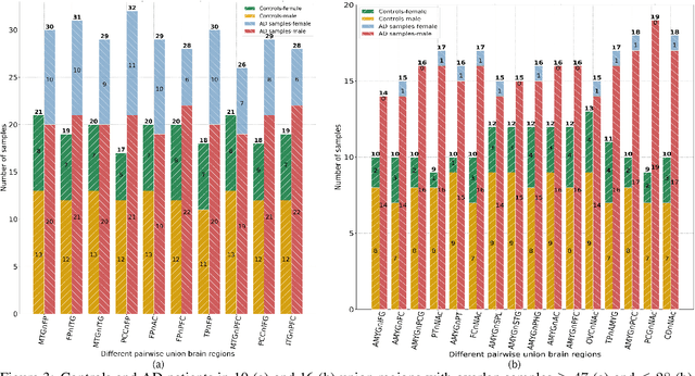
The disruption of circadian rhythm is a cardinal symptom for Alzheimer's disease (AD) patients. The full circadian rhythm orchestration of gene expression in the human brain and its inherent associations with AD remain largely unknown. We present a novel comprehensive approach, PRIME, to detect and analyze rhythmic oscillation patterns in untimed high-dimensional gene expression data across multiple datasets. To demonstrate the utility of PRIME, firstly, we validate it by a time course expression dataset from mouse liver as a cross-species and cross-organ validation. Then, we apply it to study oscillation patterns in untimed genome-wide gene expression from 19 human brain regions of controls and AD patients. Our findings reveal clear, synchronized oscillation patterns in 15 pairs of brain regions of control, while these oscillation patterns either disappear or dim for AD. It is worth noting that PRIME discovers the circadian rhythmic patterns without requiring the sample's timestamps. The codes for PRIME, along with codes to reproduce the figures in this paper, are available at https://github.com/xinxingwu-uk/PRIME.