



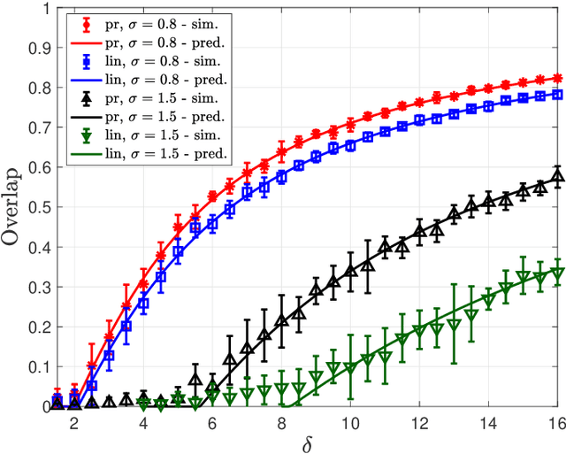
In a mixed generalized linear model, the objective is to learn multiple signals from unlabeled observations: each sample comes from exactly one signal, but it is not known which one. We consider the prototypical problem of estimating two statistically independent signals in a mixed generalized linear model with Gaussian covariates. Spectral methods are a popular class of estimators which output the top two eigenvectors of a suitable data-dependent matrix. However, despite the wide applicability, their design is still obtained via heuristic considerations, and the number of samples $n$ needed to guarantee recovery is super-linear in the signal dimension $d$. In this paper, we develop exact asymptotics on spectral methods in the challenging proportional regime in which $n, d$ grow large and their ratio converges to a finite constant. By doing so, we are able to optimize the design of the spectral method, and combine it with a simple linear estimator, in order to minimize the estimation error. Our characterization exploits a mix of tools from random matrices, free probability and the theory of approximate message passing algorithms. Numerical simulations for mixed linear regression and phase retrieval display the advantage enabled by our analysis over existing designs of spectral methods.