



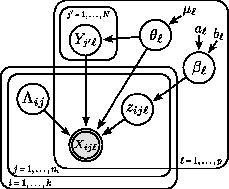
Record linkage involves merging records in large, noisy databases to remove duplicate entities. It has become an important area because of its widespread occurrence in bibliometrics, public health, official statistics production, political science, and beyond. Traditional linkage methods directly linking records to one another are computationally infeasible as the number of records grows. As a result, it is increasingly common for researchers to treat record linkage as a clustering task, in which each latent entity is associated with one or more noisy database records. We critically assess performance bounds using the Kullback-Leibler (KL) divergence under a Bayesian record linkage framework, making connections to Kolchin partition models. We provide an upper bound using the KL divergence and a lower bound on the minimum probability of misclassifying a latent entity. We give insights for when our bounds hold using simulated data and provide practical user guidance.