



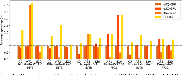
Radical progress in the field of deep learning (DL) has led to unprecedented accuracy in diverse inference tasks. As such, deploying DL models across mobile platforms is vital to enable the development and broad availability of the next-generation intelligent apps. Nevertheless, the wide and optimised deployment of DL models is currently hindered by the vast system heterogeneity of mobile devices, the varying computational cost of different DL models and the variability of performance needs across DL applications. This paper proposes OODIn, a framework for the optimised deployment of DL apps across heterogeneous mobile devices. OODIn comprises a novel DL-specific software architecture together with an analytical framework for modelling DL applications that: (1) counteract the variability in device resources and DL models by means of a highly parametrised multi-layer design; and (2) perform a principled optimisation of both model- and system-level parameters through a multi-objective formulation, designed for DL inference apps, in order to adapt the deployment to the user-specified performance requirements and device capabilities. Quantitative evaluation shows that the proposed framework consistently outperforms status-quo designs across heterogeneous devices and delivers up to 4.3x and 3.5x performance gain over highly optimised platform- and model-aware designs respectively, while effectively adapting execution to dynamic changes in resource availability.