



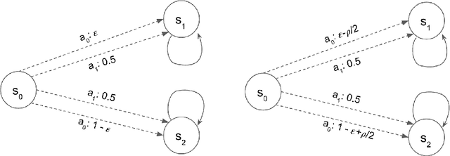
Reinforcement learning (RL) has exceeded human performance in many synthetic settings such as video games and Go. However, real-world deployment of end-to-end RL models is less common, as RL models can be very sensitive to slight perturbation of the environment. The robust Markov decision process (MDP) framework -- in which the transition probabilities belong to an uncertainty set around a nominal model -- provides one way to develop robust models. While previous analysis shows RL algorithms are effective assuming access to a generative model, it remains unclear whether RL can be efficient under a more realistic online setting, which requires a careful balance between exploration and exploitation. In this work, we consider online robust MDP by interacting with an unknown nominal system. We propose a robust optimistic policy optimization algorithm that is provably efficient. To address the additional uncertainty caused by an adversarial environment, our model features a new optimistic update rule derived via Fenchel conjugates. Our analysis establishes the first regret bound for online robust MDPs.