



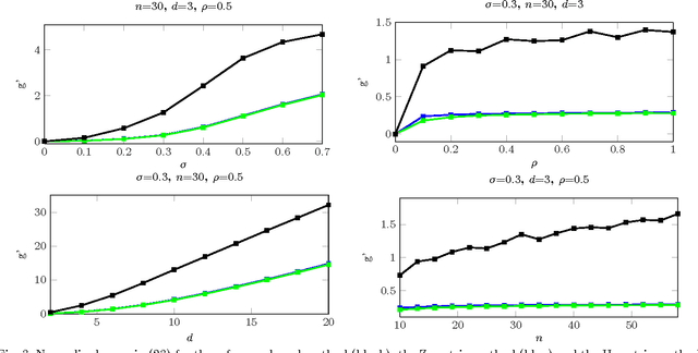
Transitive consistency is an intrinsic property for collections of linear invertible transformations between Euclidean coordinate frames. In practice, when the transformations are estimated from data, this property is lacking. This work addresses the problem of synchronizing transformations that are not transitively consistent. Once the transformations have been synchronized, they satisfy the transitive consistency condition - a transformation from frame $A$ to frame $C$ is equal to the composite transformation of first transforming A to B and then transforming B to C. The coordinate frames correspond to nodes in a graph and the transformations correspond to edges in the same graph. Two direct or centralized synchronization methods are presented for different graph topologies; the first one for quasi-strongly connected graphs, and the second one for connected graphs. As an extension of the second method, an iterative Gauss-Newton method is presented, which is later adapted to the case of affine and Euclidean transformations. Two distributed synchronization methods are also presented for orthogonal matrices, which can be seen as distributed versions of the two direct or centralized methods; they are similar in nature to standard consensus protocols used for distributed averaging. When the transformations are orthogonal matrices, a bound on the optimality gap can be computed. Simulations show that the gap is almost right, even for noise large in magnitude. This work also contributes on a theoretical level by providing linear algebraic relationships for transitively consistent transformations. One of the benefits of the proposed methods is their simplicity - basic linear algebraic methods are used, e.g., the Singular Value Decomposition (SVD). For a wide range of parameter settings, the methods are numerically validated.