



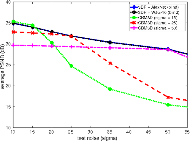
Large amount of image denoising literature focuses on single channel images and often experimentally validates the proposed methods on tens of images at most. In this paper, we investigate the interaction between denoising and classification on large scale dataset. Inspired by classification models, we propose a novel deep learning architecture for color (multichannel) image denoising and report on thousands of images from ImageNet dataset as well as commonly used imagery. We study the importance of (sufficient) training data, how semantic class information can be traded for improved denoising results. As a result, our method greatly improves PSNR performance by 0.34 - 0.51 dB on average over state-of-the art methods on large scale dataset. We conclude that it is beneficial to incorporate in classification models. On the other hand, we also study how noise affect classification performance. In the end, we come to a number of interesting conclusions, some being counter-intuitive.