



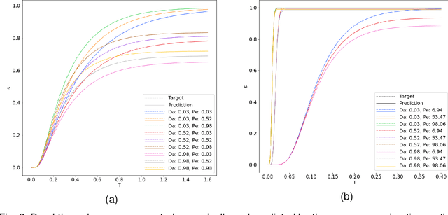
Reactive flows are important part of numerous technical and environmental processes. Often monitoring the flow and species concentrations within the domain is not possible or is expensive, in contrast, outlet concentration is straightforward to measure. In connection with reactive flows in porous media, the term breakthrough curve is used to denote the time dependency of the outlet concentration with prescribed conditions at the inlet. In this work we apply several machine learning methods to predict breakthrough curves from the given set of parameters. In our case the parameters are the Damk\"ohler and Peclet numbers. We perform a thorough analysis for the one-dimensional case and also provide the results for the three-dimensional case.