


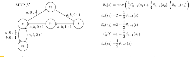
We study the complexity of evaluating powered functions implemented by straight-line programs (SLPs) over the tropical semiring (i.e., with max and + operations). In this problem, a given (max,+)-SLP with the same number of input and output wires is composed with H copies of itself, where H is given in binary. The problem of evaluating powered SLPs is intimately connected with iterative arithmetic computations that arise in algorithmic decision making and operations research. Specifically, it is essentially equivalent to finding optimal strategies in finite-horizon Markov Decision Processes (MDPs). We show that evaluating powered SLPs and finding optimal strategies in finite-horizon MDPs are both EXPTIME-complete problems. This resolves an open problem that goes back to the seminal 1987 paper on the complexity of MDPs by Papadimitriou and Tsitsiklis.