



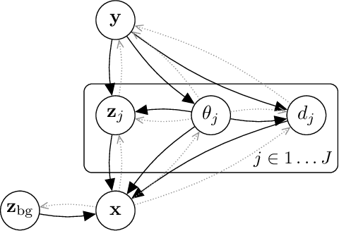
We present a generative model of images that explicitly reasons over the set of objects they show. Our model learns a structured latent representation that separates objects from each other and from the background; unlike prior works, it explicitly represents the 2D position and depth of each object, as well as an embedding of its segmentation mask and appearance. The model can be trained from images alone in a purely unsupervised fashion without the need for object masks or depth information. Moreover, it always generates complete objects, even though a significant fraction of training images contain occlusions. Finally, we show that our model can infer decompositions of novel images into their constituent objects, including accurate prediction of depth ordering and segmentation of occluded parts.