



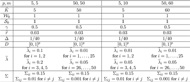
In this paper, we provide a non-asymptotic analysis of the convergence of the stochastic gradient Hamiltonian Monte Carlo (SGHMC) algorithm to a target measure in Wasserstein-1 and Wasserstein-2 distance. Crucially, compared to the existing literature on SGHMC, we allow its stochastic gradient to be discontinuous. This allows us to provide explicit upper bounds, which can be controlled to be arbitrarily small, for the expected excess risk of non-convex stochastic optimization problems with discontinuous stochastic gradients, including, among others, the training of neural networks with ReLU activation function. To illustrate the applicability of our main results, we consider numerical experiments on quantile estimation and on several optimization problems involving ReLU neural networks relevant in finance and artificial intelligence.