



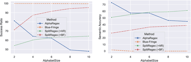
Due to the practical importance of regular expressions (regexes, for short), there has been a lot of research to automatically generate regexes from positive and negative string examples. We tackle the problem of learning regexes faster from positive and negative strings by relying on a novel approach called `neural example splitting'. Our approach essentially split up each example string into multiple parts using a neural network trained to group similar substrings from positive strings. This helps to learn a regex faster and, thus, more accurately since we now learn from several short-length strings. We propose an effective regex synthesis framework called `SplitRegex' that synthesizes subregexes from `split' positive substrings and produces the final regex by concatenating the synthesized subregexes. For the negative sample, we exploit pre-generated subregexes during the subregex synthesis process and perform the matching against negative strings. Then the final regex becomes consistent with all negative strings. SplitRegex is a divided-and-conquer framework for learning target regexes; split (=divide) positive strings and infer partial regexes for multiple parts, which is much more accurate than the whole string inferring, and concatenate (=conquer) inferred regexes while satisfying negative strings. We empirically demonstrate that the proposed SplitRegex framework substantially improves the previous regex synthesis approaches over four benchmark datasets.