



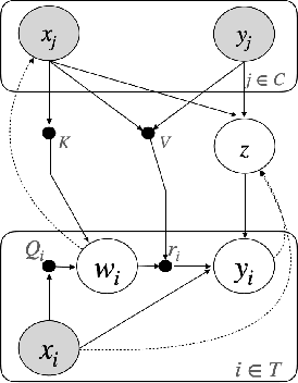
Neural processes (NPs) aim to stochastically complete unseen data points based on a given context dataset. NPs essentially leverage a given dataset as a context representation to derive a suitable identifier for a novel task. To improve the prediction accuracy, many variants of NPs have investigated context embedding approaches that generally design novel network architectures and aggregation functions satisfying permutation invariant. In this work, we propose a stochastic attention mechanism for NPs to capture appropriate context information. From the perspective of information theory, we demonstrate that the proposed method encourages context embedding to be differentiated from a target dataset, allowing NPs to consider features in a target dataset and context embedding independently. We observe that the proposed method can appropriately capture context embedding even under noisy data sets and restricted task distributions, where typical NPs suffer from a lack of context embeddings. We empirically show that our approach substantially outperforms conventional NPs in various domains through 1D regression, predator-prey model, and image completion. Moreover, the proposed method is also validated by MovieLens-10k dataset, a real-world problem.