



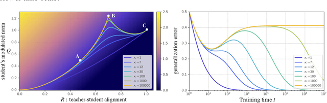
A key challenge in building theoretical foundations for deep learning is the complex optimization dynamics of neural networks, resulting from the high-dimensional interactions between the large number of network parameters. Such non-trivial dynamics lead to intriguing behaviors such as the phenomenon of "double descent" of the generalization error. The more commonly studied aspect of this phenomenon corresponds to model-wise double descent where the test error exhibits a second descent with increasing model complexity, beyond the classical U-shaped error curve. In this work, we investigate the origins of the less studied epoch-wise double descent in which the test error undergoes two non-monotonous transitions, or descents as the training time increases. By leveraging tools from statistical physics, we study a linear teacher-student setup exhibiting epoch-wise double descent similar to that in deep neural networks. In this setting, we derive closed-form analytical expressions for the evolution of generalization error over training. We find that double descent can be attributed to distinct features being learned at different scales: as fast-learning features overfit, slower-learning features start to fit, resulting in a second descent in test error. We validate our findings through numerical experiments where our theory accurately predicts empirical findings and remains consistent with observations in deep neural networks.