

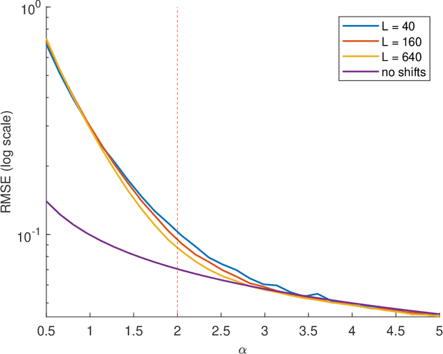
Multi-reference alignment entails estimating a signal in $\mathbb{R}^L$ from its circularly-shifted and noisy copies. This problem has been studied thoroughly in recent years, focusing on the finite-dimensional setting (fixed $L$). Motivated by single-particle cryo-electron microscopy, we analyze the sample complexity of the problem in the high-dimensional regime $L\to\infty$. Our analysis uncovers a phase transition phenomenon governed by the parameter $\alpha = L/(\sigma^2\log L)$, where $\sigma^2$ is the variance of the noise. When $\alpha>2$, the impact of the unknown circular shifts on the sample complexity is minor. Namely, the number of measurements required to achieve a desired accuracy $\varepsilon$ approaches $\sigma^2/\varepsilon$ for small $\varepsilon$; this is the sample complexity of estimating a signal in additive white Gaussian noise, which does not involve shifts. In sharp contrast, when $\alpha\leq 2$, the problem is significantly harder and the sample complexity grows substantially quicker with $\sigma^2$.