



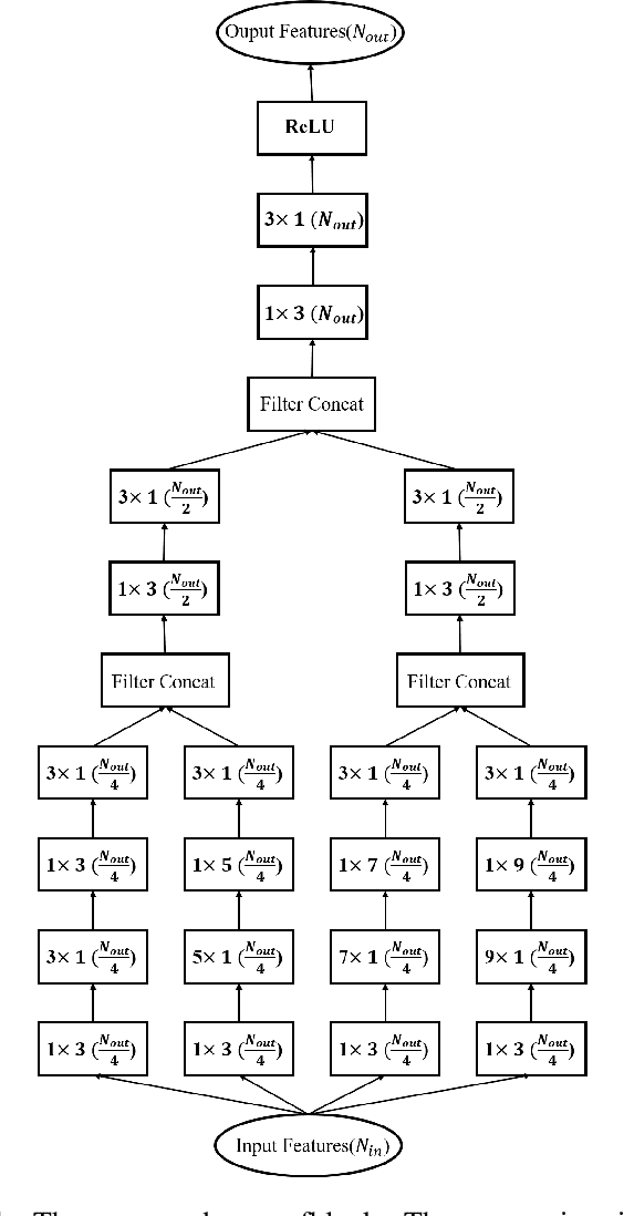
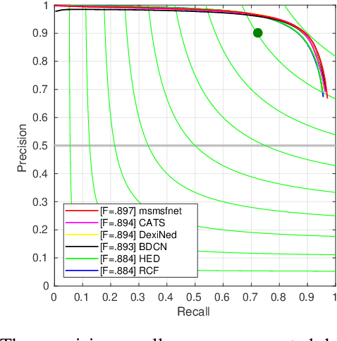
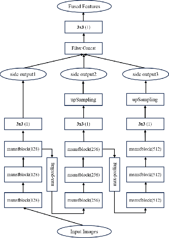
Edge detection is a long standing problem in computer vision. Recent deep learning based algorithms achieve state of-the-art performance in publicly available datasets. Despite the efficiency of these algorithms, their performance, however, relies heavily on the pretrained weights of the backbone network on the ImageNet dataset. This limits heavily the design space of deep learning based edge detectors. Whenever we want to devise a new model, we have to train this new model on the ImageNet dataset first, and then fine tune the model using the edge detection datasets. The comparison would be unfair otherwise. However, it is usually not feasible for many researchers to train a model on the ImageNet dataset due to the limited computation resources. In this work, we study the performance that can be achieved by state-of-the-art deep learning based edge detectors in publicly available datasets when they are trained from scratch, and devise a new network architecture, the multi-stream and multi scale fusion net (msmsfnet), for edge detection. We show in our experiments that by training all models from scratch to ensure the fairness of comparison, out model outperforms state-of-the art deep learning based edge detectors in three publicly available datasets.