



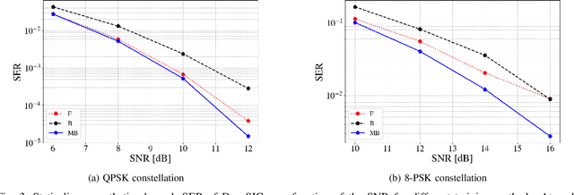
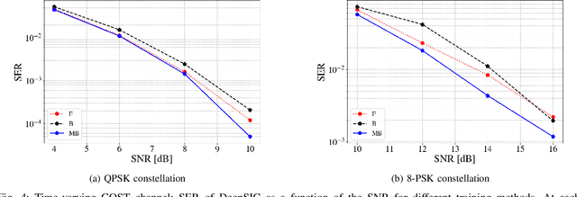
In the design of wireless receivers, DNNs can be combined with traditional model-based receiver algorithms to realize modular hybrid model-based/data-driven architectures that can account for domain knowledge. Such architectures typically include multiple modules, each carrying out a different functionality. Conventionally trained DNN-based modules are known to produce poorly calibrated, typically overconfident, decisions. This implies that an incorrect decision may propagate through the architecture without any indication of its insufficient accuracy. To address this problem, we present a novel combination of Bayesian learning with hybrid model-based/data-driven architectures for wireless receiver design. The proposed methodology, referred to as modular model-based Bayesian learning, results in better calibrated modules, improving accuracy and calibration of the overall receiver. We demonstrate this approach for the recently proposed DeepSIC MIMO receiver, showing significant improvements with respect to the state-of-the-art learning methods.