



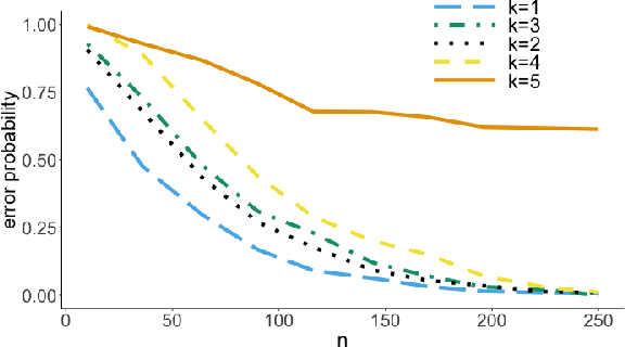
It is common practice to collect observations of feature and response pairs from different environments. A natural question is how to identify features that have consistent prediction power across environments. The invariant causal prediction framework proposes to approach this problem through invariance, assuming a linear model that is invariant under different environments. In this work, we make an attempt to shed light on this framework by connecting it to the Gaussian multiple access channel problem. Specifically, we incorporate optimal code constructions and decoding methods to provide lower bounds on the error probability. We illustrate our findings by various simulation settings.