



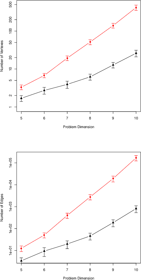
Using a recently proposed model for combinatorial landscapes, Local Optima Networks (LON), we conduct a thorough analysis of two types of instances of the Quadratic Assignment Problem (QAP). This network model is a reduction of the landscape in which the nodes correspond to the local optima, and the edges account for the notion of adjacency between their basins of attraction. The model was inspired by the notion of 'inherent network' of potential energy surfaces proposed in physical-chemistry. The local optima networks extracted from the so called uniform and real-like QAP instances, show features clearly distinguishing these two types of instances. Apart from a clear confirmation that the search difficulty increases with the problem dimension, the analysis provides new confirming evidence explaining why the real-like instances are easier to solve exactly using heuristic search, while the uniform instances are easier to solve approximately. Although the local optima network model is still under development, we argue that it provides a novel view of combinatorial landscapes, opening up the possibilities for new analytical tools and understanding of problem difficulty in combinatorial optimization.