



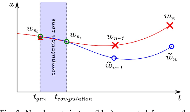
Agile autonomous drones are becoming increasingly popular in research due to the challenges they represent in fields like control, state estimation, or perception at high speeds. When all algorithms are computed onboard the uav, the computational limitations make the task of agile and robust flight even more difficult. One of the most computationally expensive tasks in agile flight is the generation of optimal trajectories that tackles the problem of planning a minimum time trajectory for a quadrotor over a sequence of specified waypoints. When these trajectories must be updated online due to changes in the environment or uncertainties, this high computational cost can leverage to not reach the desired waypoints or even crash in cluttered environments. In this paper, a fast lightweight dynamic trajectory modification approach is presented to allow modifying computational heavy trajectories using Local Gaussian Modifiers (LGMs), when recalculating a trajectory is not possible due to the time of computation. Our approach was validated in simulation, being able to pass through a race circuit with dynamic gates with top speeds up to 16.0 m/s, and was also validated in real flight reaching speeds up to 4.0 m/s in a fully autonomous onboard computing condition.