



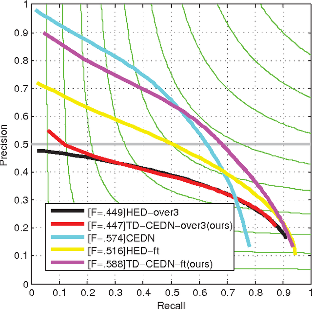
We develop a novel deep contour detection algorithm with a top-down fully convolutional encoder-decoder network. Our proposed method, named TD-CEDN, solves two important issues in this low-level vision problem: (1) learning multi-scale and multi-level features; and (2) applying an effective top-down refined approach in the networks. TD-CEDN performs the pixel-wise prediction by means of leveraging features at all layers of the net. Unlike skip connections and previous encoder-decoder methods, we first learn a coarse feature map after the encoder stage in a feedforward pass, and then refine this feature map in a top-down strategy during the decoder stage utilizing features at successively lower layers. Therefore, the deconvolutional process is conducted stepwise, which is guided by Deeply-Supervision Net providing the integrated direct supervision. The above proposed technologies lead to a more precise and clearer prediction. Our proposed algorithm achieved the state-of-the-art on the BSDS500 dataset (ODS F-score of 0.788), the PASCAL VOC2012 dataset (ODS F-score of 0.588), and and the NYU Depth dataset (ODS F-score of 0.735).