



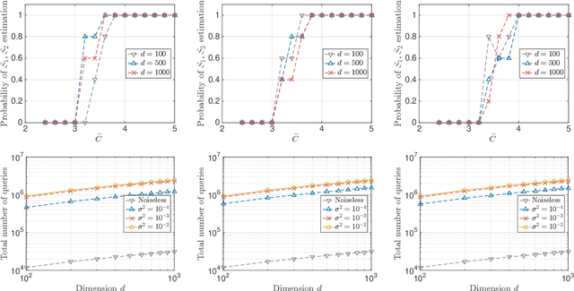
A function $f: \mathbb{R}^d \rightarrow \mathbb{R}$ is referred to as a Sparse Additive Model (SPAM), if it is of the form $f(\mathbf{x}) = \sum_{l \in \mathcal{S}}\phi_{l}(x_l)$, where $\mathcal{S} \subset [d]$, $|\mathcal{S}| \ll d$. Assuming $\phi_l$'s and $\mathcal{S}$ to be unknown, the problem of estimating $f$ from its samples has been studied extensively. In this work, we consider a generalized SPAM, allowing for second order interaction terms. For some $\mathcal{S}_1 \subset [d], \mathcal{S}_2 \subset {[d] \choose 2}$, the function $f$ is assumed to be of the form: $$f(\mathbf{x}) = \sum_{p \in \mathcal{S}_1}\phi_{p} (x_p) + \sum_{(l,l^{\prime}) \in \mathcal{S}_2}\phi_{(l,l^{\prime})} (x_{l},x_{l^{\prime}}).$$ Assuming $\phi_{p},\phi_{(l,l^{\prime})}$, $\mathcal{S}_1$ and, $\mathcal{S}_2$ to be unknown, we provide a randomized algorithm that queries $f$ and exactly recovers $\mathcal{S}_1,\mathcal{S}_2$. Consequently, this also enables us to estimate the underlying $\phi_p, \phi_{(l,l^{\prime})}$. We derive sample complexity bounds for our scheme and also extend our analysis to include the situation where the queries are corrupted with noise -- either stochastic, or arbitrary but bounded. Lastly, we provide simulation results on synthetic data, that validate our theoretical findings.