



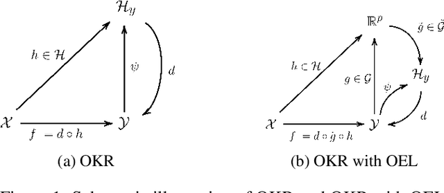
A powerful and flexible approach to structured prediction consists in embedding the structured objects to be predicted into a feature space of possibly infinite dimension, and then, solving a regression problem in this output space. A prediction in the original space is computed by solving a pre-image problem. In such an approach, the embedding, linked to the target loss, is defined prior to the learning phase. In this work, we propose to jointly learn an approximation of the output embedding and the regression function into the new feature space. Output Embedding Learning (OEL) allows to leverage a priori information on the outputs and also unexploited unsupervised output data, which are both often available in structured prediction problems. We give a general learning method that we theoretically study in the linear case, proving consistency and excess-risk bound. OEL is tested on various structured prediction problems, showing its versatility and reveals to be especially useful when the training dataset is small compared to the complexity of the task.