



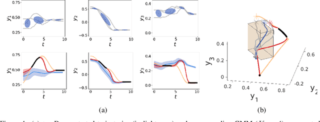
In learning from demonstrations, it is often desirable to adapt the behavior of the robot as a function of the variability retrieved from human demonstrations and the (un)certainty encoded in different parts of the task. In this paper, we propose a novel multi-output Gaussian process (MOGP) based on Gaussian mixture regression (GMR). The proposed approach encapsulates the variability retrieved from the demonstrations in the covariance of the MOGP. Leveraging the generative nature of GP models, our approach can efficiently modulate trajectories towards new start-, via- or end-points defined by the task. Our framework allows the robot to precisely track via-points while being compliant in regions of high variability. We illustrate the proposed approach in simulated examples and validate it in a real-robot experiment.