



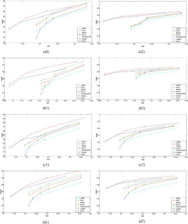
Although deep convolutional neural network has been proved to efficiently eliminate coding artifacts caused by the coarse quantization of traditional codec, it's difficult to train any neural network in front of the encoder for gradient's back-propagation. In this paper, we propose an end-to-end image compression framework based on convolutional neural network to resolve the problem of non-differentiability of the quantization function in the standard codec. First, the feature description neural network is used to get a valid description in the low-dimension space with respect to the ground-truth image so that the amount of image data is greatly reduced for storage or transmission. After image's valid description, standard image codec such as JPEG is leveraged to further compress image, which leads to image's great distortion and compression artifacts, especially blocking artifacts, detail missing, blurring, and ringing artifacts. Then, we use a post-processing neural network to remove these artifacts. Due to the challenge of directly learning a non-linear function for a standard codec based on convolutional neural network, we propose to learn a virtual codec neural network to approximate the projection from the valid description image to the post-processed compressed image, so that the gradient could be efficiently back-propagated from the post-processing neural network to the feature description neural network during training. Meanwhile, an advanced learning algorithm is proposed to train our deep neural networks for compression. Obviously, the priority of the proposed method is compatible with standard existing codecs and our learning strategy can be easily extended into these codecs based on convolutional neural network. Experimental results have demonstrated the advances of the proposed method as compared to several state-of-the-art approaches, especially at very low bit-rate.