



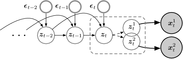
Understanding the dynamics of time series data typically requires identifying the unique latent factors for data generation, \textit{a.k.a.}, latent processes identification. Driven by the independent assumption, existing works have made great progress in handling single-view data. However, it is a non-trivial problem that extends them to multi-view time series data because of two main challenges: (i) the complex data structure, such as temporal dependency, can result in violation of the independent assumption; (ii) the factors from different views are generally overlapped and are hard to be aggregated to a complete set. In this work, we propose a novel framework MuLTI that employs the contrastive learning technique to invert the data generative process for enhanced identifiability. Additionally, MuLTI integrates a permutation mechanism that merges corresponding overlapped variables by the establishment of an optimal transport formula. Extensive experimental results on synthetic and real-world datasets demonstrate the superiority of our method in recovering identifiable latent variables on multi-view time series.