



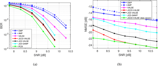
In this paper, we propose an iterative receiver based on gridless variational Bayesian line spectra estimation (VALSE) named JCCD-VALSE that \emph{j}ointly estimates the \emph{c}arrier frequency offset (CFO), the \emph{c}hannel with high resolution and carries out \emph{d}ata decoding. Based on a modularized point of view and motivated by the high resolution and low complexity gridless VALSE algorithm, three modules named the VALSE module, the minimum mean squared error (MMSE) module and the decoder module are built. Soft information is exchanged between the modules to progressively improve the channel estimation and data decoding accuracy. Since the delays of multipaths of the channel are treated as continuous parameters, instead of on a grid, the leakage effect is avoided. Besides, the proposed approach is a more complete Bayesian approach as all the nuisance parameters such as the noise variance, the parameters of the prior distribution of the channel, the number of paths are automatically estimated. Numerical simulations and sea test data are utilized to demonstrate that the proposed approach performs significantly better than the existing grid-based generalized approximate message passing (GAMP) based \emph{j}oint \emph{c}hannel and \emph{d}ata decoding approach (JCD-GAMP). Furthermore, it is also verified that joint processing including CFO estimation provides performance gain.