



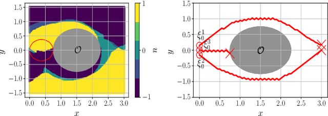
Reinforcement learning (RL) is a promising approach for deriving control policies for complex systems. As we show in two control problems, the derived policies from using the Proximal Policy Optimization (PPO) and Deep Q-Network (DQN) algorithms may lack robustness guarantees. Motivated by these issues, we propose a new hybrid algorithm, which we call Hysteresis-Based RL (HyRL), augmenting an existing RL algorithm with hysteresis switching and two stages of learning. We illustrate its properties in two examples for which PPO and DQN fail.