



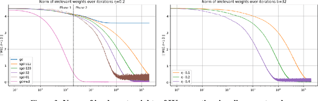
We investigate the ability of deep neural networks to identify the support of the target function. Our findings reveal that mini-batch SGD effectively learns the support in the first layer of the network by shrinking to zero the weights associated with irrelevant components of input. In contrast, we demonstrate that while vanilla GD also approximates the target function, it requires an explicit regularization term to learn the support in the first layer. We prove that this property of mini-batch SGD is due to a second-order implicit regularization effect which is proportional to $\eta / b$ (step size / batch size). Our results are not only another proof that implicit regularization has a significant impact on training optimization dynamics but they also shed light on the structure of the features that are learned by the network. Additionally, they suggest that smaller batches enhance feature interpretability and reduce dependency on initialization.