



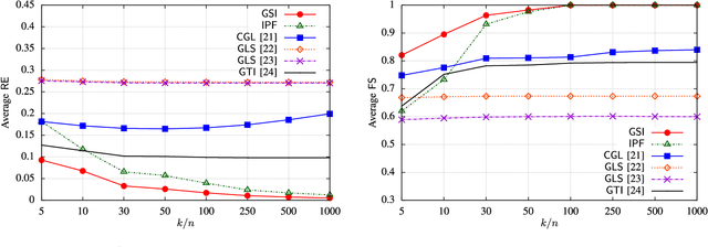
This paper introduces a novel graph signal processing framework for building graph-based models from classes of filtered signals. In our framework, graph-based modeling is formulated as a graph system identification problem, where the goal is to learn a weighted graph (a graph Laplacian matrix) and a graph-based filter (a function of graph Laplacian matrices). In order to solve the proposed problem, an algorithm is developed to jointly identify a graph and a graph-based filter (GBF) from multiple signal/data observations. Our algorithm is valid under the assumption that GBFs are one-to-one functions. The proposed approach can be applied to learn diffusion (heat) kernels, which are popular in various fields for modeling diffusion processes. In addition, for specific choices of graph-based filters, the proposed problem reduces to a graph Laplacian estimation problem. Our experimental results demonstrate that the proposed algorithm outperforms the current state-of-the-art methods. We also implement our framework on a real climate dataset for modeling of temperature signals.