



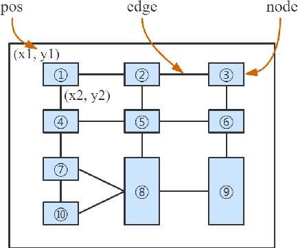
Tabular data is a crucial form of information expression, which can organize data in a standard structure for easy information retrieval and comparison. However, in financial industry and many other fields tables are often disclosed in unstructured digital files, e.g. Portable Document Format (PDF) and images, which are difficult to be extracted directly. In this paper, to facilitate deep learning based table extraction from unstructured digital files, we publish a standard Chinese dataset named FinTab, which contains more than 1,600 financial tables of diverse kinds and their corresponding structure representation in JSON. In addition, we propose a novel graph-based convolutional neural network model named GFTE as a baseline for future comparison. GFTE integrates image feature, position feature and textual feature together for precise edge prediction and reaches overall good results.