



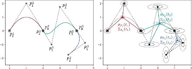
An appropriate data basis grants one of the most important aspects for training and evaluating probabilistic trajectory prediction models based on neural networks. In this regard, a common shortcoming of current benchmark datasets is their limitation to sets of sample trajectories and a lack of actual ground truth distributions, which prevents the use of more expressive error metrics, such as the Wasserstein distance for model evaluation. Towards this end, this paper proposes a novel approach to synthetic dataset generation based on composite probabilistic B\'ezier curves, which is capable of generating ground truth data in terms of probability distributions over full trajectories. This allows the calculation of arbitrary posterior distributions. The paper showcases an exemplary trajectory prediction model evaluation using generated ground truth distribution data.