



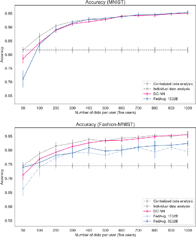
Dimensionality Reduction is a commonly used element in a machine learning pipeline that helps to extract important features from high-dimensional data. In this work, we explore an alternative federated learning system that enables integration of dimensionality reduced representations of distributed data prior to a supervised learning task, thus avoiding model sharing among the parties. We compare the performance of this approach on image classification tasks to three alternative frameworks: centralized machine learning, individual machine learning, and Federated Averaging, and analyze potential use cases for a federated learning system without model sharing. Our results show that our approach can achieve similar accuracy as Federated Averaging and performs better than Federated Averaging in a small-user setting.