



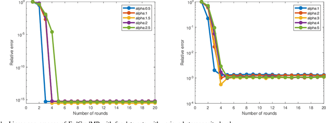
Traditional machine learning techniques require centralizing all training data on one server or data hub. Due to the development of communication technologies and a huge amount of decentralized data on many clients, collaborative machine learning has become the main interest while providing privacy-preserving frameworks. In particular, federated learning (FL) provides such a solution to learn a shared model while keeping training data at local clients. On the other hand, in a wide range of machine learning and signal processing applications, the desired solution naturally has a certain structure that can be framed as sparsity with respect to a certain dictionary. This problem can be formulated as an optimization problem with sparsity constraints and solving it efficiently has been one of the primary research topics in the traditional centralized setting. In this paper, we propose a novel algorithmic framework, federated gradient matching pursuit (FedGradMP), to solve the sparsity constrained minimization problem in the FL setting. We also generalize our algorithms to accommodate various practical FL scenarios when only a subset of clients participate per round, when the local model estimation at clients could be inexact, or when the model parameters are sparse with respect to general dictionaries. Our theoretical analysis shows the linear convergence of the proposed algorithms. A variety of numerical experiments are conducted to demonstrate the great potential of the proposed framework -- fast convergence both in communication rounds and computation time for many important scenarios without sophisticated parameter tuning.