



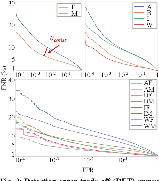
We reveal critical insights into problems of bias in state-of-the-art facial recognition (FR) systems using a novel Balanced Faces In the Wild (BFW) dataset: data balanced for gender and ethnic groups. We show variations in the optimal scoring threshold for face-pairs across different subgroups. Thus, the conventional approach of learning a global threshold for all pairs resulting in performance gaps among subgroups. By learning subgroup-specific thresholds, we not only mitigate problems in performance gaps but also show a notable boost in the overall performance. Furthermore, we do a human evaluation to measure the bias in humans, which supports the hypothesis that such a bias exists in human perception. For the BFW database, source code, and more, visit github.com/visionjo/facerec-bias-bfw.