



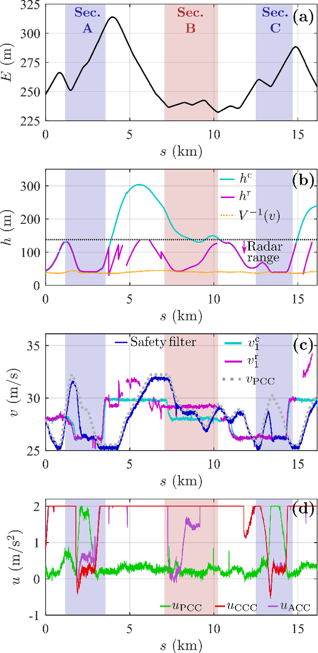
Accomplishing safe and efficient driving is one of the predominant challenges in the controller design of connected automated vehicles (CAVs). It is often more convenient to address these goals separately and integrate the resulting controllers. In this study, we propose a controller integration scheme to fuse performance-based controllers and safety-oriented controllers safely for the longitudinal motion of a CAV. The resulting structure is compatible with a large class of controllers, and offers flexibility to design each controller individually without affecting the performance of the others. We implement the proposed safe integration scheme on a connected automated truck using an optimal-in-energy controller and a safety-oriented connected cruise controller. We validate the premise of the safe integration through experiments with a full-scale truck in two scenarios: a controlled experiment on a test track and a real-world experiment on a public highway. In both scenarios, we achieve energy efficient driving without violating safety.