



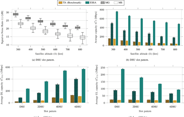
The integration of non-terrestrial networks (NTNs) and terrestrial networks (TNs) is fundamental for extending connectivity to rural and underserved areas that lack coverage from traditional cellular infrastructure. However, this integration presents several challenges. For instance, TNs mainly operate in Time Division Duplexing (TDD). However, for NTN via satellites, TDD is complicated due to synchronization problems in large cells, and the significant impact of guard periods and long propagation delays. In this paper, we propose a novel slot allocation mechanism to enable TDD in NTN. This approach permits to allocate additional transmissions during the guard period between a downlink slot and the corresponding uplink slot to reduce the overhead, provided that they do not interfere with other concurrent transmissions. Moreover, we propose two scheduling methods to select the users that transmit based on considerations related to the Signal-to-Noise Ratio (SNR) or the propagation delay. Simulations demonstrate that our proposal can increase the network capacity compared to a benchmark scheme that does not schedule transmissions in guard periods.