



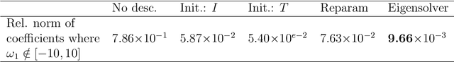
We demonstrate the emergence of weight matrix singular value decomposition (SVD) in interpreting neural networks (NNs) for parameter estimation from noisy signals. The SVD appears naturally as a consequence of initial application of a descrambling transform - a recently-developed technique for addressing interpretability in NNs \cite{amey2021neural}. We find that within the class of noisy parameter estimation problems, the SVD may be the means by which networks memorize the signal model. We substantiate our theoretical findings with empirical evidence from both linear and non-linear settings. Our results also illuminate the connections between a mathematical theory of semantic development \cite{saxe2019mathematical} and neural network interpretability.