
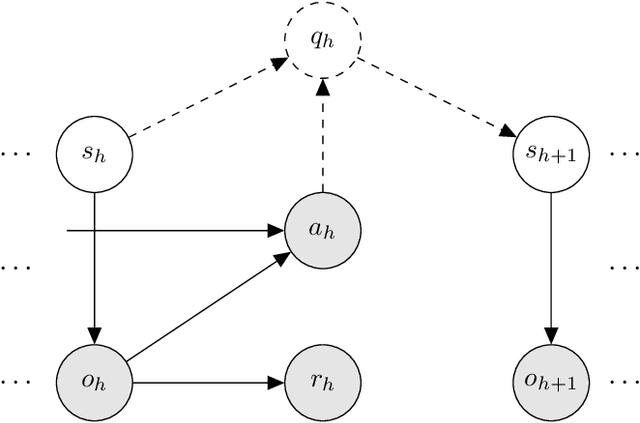
Reinforcement learning in partially observed Markov decision processes (POMDPs) faces two challenges. (i) It often takes the full history to predict the future, which induces a sample complexity that scales exponentially with the horizon. (ii) The observation and state spaces are often continuous, which induces a sample complexity that scales exponentially with the extrinsic dimension. Addressing such challenges requires learning a minimal but sufficient representation of the observation and state histories by exploiting the structure of the POMDP. To this end, we propose a reinforcement learning algorithm named Embed to Control (ETC), which learns the representation at two levels while optimizing the policy.~(i) For each step, ETC learns to represent the state with a low-dimensional feature, which factorizes the transition kernel. (ii) Across multiple steps, ETC learns to represent the full history with a low-dimensional embedding, which assembles the per-step feature. We integrate (i) and (ii) in a unified framework that allows a variety of estimators (including maximum likelihood estimators and generative adversarial networks). For a class of POMDPs with a low-rank structure in the transition kernel, ETC attains an $O(1/\epsilon^2)$ sample complexity that scales polynomially with the horizon and the intrinsic dimension (that is, the rank). Here $\epsilon$ is the optimality gap. To our best knowledge, ETC is the first sample-efficient algorithm that bridges representation learning and policy optimization in POMDPs with infinite observation and state spaces.