



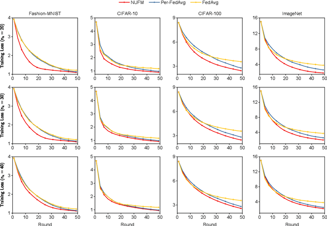
Federated meta-learning (FML) has emerged as a promising paradigm to cope with the data limitation and heterogeneity challenges in today's edge learning arena. However, its performance is often limited by slow convergence and corresponding low communication efficiency. In addition, since the available radio spectrum and IoT devices' energy capacity are usually insufficient, it is crucial to control the resource allocation and energy consumption when deploying FML in practical wireless networks. To overcome the challenges, in this paper, we rigorously analyze each device's contribution to the global loss reduction in each round and develop an FML algorithm (called NUFM) with a non-uniform device selection scheme to accelerate the convergence. After that, we formulate a resource allocation problem integrating NUFM in multi-access wireless systems to jointly improve the convergence rate and minimize the wall-clock time along with energy cost. By deconstructing the original problem step by step, we devise a joint device selection and resource allocation strategy to solve the problem with theoretical guarantees. Further, we show that the computational complexity of NUFM can be reduced from $O(d^2)$ to $O(d)$ (with the model dimension $d$) via combining two first-order approximation techniques. Extensive simulation results demonstrate the effectiveness and superiority of the proposed methods in comparison with existing baselines.