



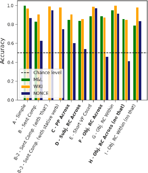
Although transformer-based Neural Language Models demonstrate impressive performance on a variety of tasks, their generalization abilities are not well understood. They have been shown to perform strongly on subject-verb number agreement in a wide array of settings, suggesting that they learned to track syntactic dependencies during their training even without explicit supervision. In this paper, we examine the extent to which BERT is able to perform lexically-independent subject-verb number agreement (NA) on targeted syntactic templates. To do so, we disrupt the lexical patterns found in naturally occurring stimuli for each targeted structure in a novel fine-grained analysis of BERT's behavior. Our results on nonce sentences suggest that the model generalizes well for simple templates, but fails to perform lexically-independent syntactic generalization when as little as one attractor is present.