



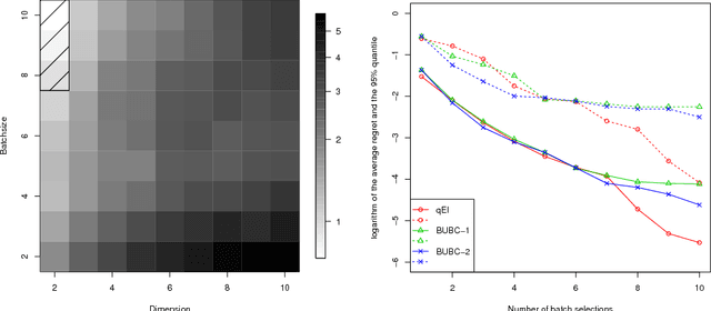
This work deals with parallel optimization of expensive objective functions which are modeled as sample realizations of Gaussian processes. The study is formalized as a Bayesian optimization problem, or continuous multi-armed bandit problem, where a batch of q > 0 arms is pulled in parallel at each iteration. Several algorithms have been developed for choosing batches by trading off exploitation and exploration. As of today, the maximum Expected Improvement (EI) and Upper Confidence Bound (UCB) selection rules appear as the most prominent approaches for batch selection. Here, we build upon recent work on the multipoint Expected Improvement criterion, for which an analytic expansion relying on Tallis' formula was recently established. The computational burden of this selection rule being still an issue in application, we derive a closed-form expression for the gradient of the multipoint Expected Improvement, which aims at facilitating its maximization using gradient-based ascent algorithms. Substantial computational savings are shown in application. In addition, our algorithms are tested numerically and compared to state-of-the-art UCB-based batch-sequential algorithms. Combining starting designs relying on UCB with gradient-based EI local optimization finally appears as a sound option for batch design in distributed Gaussian Process optimization.